El intendente supera lo que gana el Presidente de la Nación

Berisso tiene los funcionarios más caros del país

En la recta final del primer año de gestión de Jorge Nedela, los reclamos sociales se intensifican en un claro marco social de crisis económica.

Varios funcionarios del Gabinete se muestran ajenos a la realidad y no se sonrojan al mostrarse por las redes sociales realizando actividades de ocio, despojados de cualquier problema.

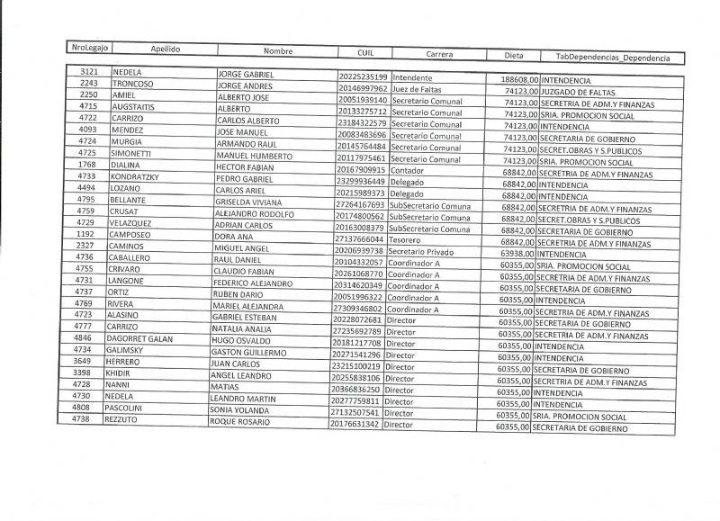
En las últimas horas, se dio a conocer en detalle lo que le cuesta al Estado cada funcionario, empezando por el intendente municipal, con un monto de $ 188.608, monto al que deberían sumarse los viáticos, la movilidad y las comunicaciones.

O el claro ejemplo de un secretario que percibe 74.123 pesos, como es el caso de Carlos Carrizo, extitular de Economía y actual secretario de Producción.

Más de 5 millones de pesos gasta Nedela en la planta política, sin embargo en la vereda de enfrente los trabajadores municipales tuvieron que someterse a protestas y medidas de fuerza para obtener la suma de mil pesos en El mes de diciembre.

Los coordinadores se han convertido en seres ausentes que por motivos políticos o de amiguimismo cobran un sueldo cada mes sin tener un rol definido. En este sentido, paradigmástico es el caso de una coordinadora designada para la Fiesta del Provinciano.

Los clanes

Otra de las características en el armado del jefe comunal fueron “las familias completas” como ser el ejemplo del secretario de Gobierno, José ‘Cacho’ Méndez ($ 74.123) y su hija Mariela Verónica, como coordinadora B ($ 44.663).

No se queda atrás la presidenta del Concejo Deliberante, Ana Lara, quien con su esposo e hijas, llega a una recaudación de casi 100 mil pesos por el grupo familiar.

La lista continúa: el delegado de la Zona 2 y su hermano, el secretario privado Miguel Caminos ($ 63.938) y su esposa como coordinadora Clase B  María Cecilia Parada ($ 44.663); el secretario del HCD Rubén Sagarduy ($ 65.000) y su hija, etcétera.

El análisis no da lugar a dudas al ver que hasta ahora la fiesta lejos de llegar al pueblo berissense, la viven los funcionarios despojados de culpa, quienes ante el menor cuestionamiento se excusan con la “pesada herencia”.

Los sueldos de los funcionarios

Berisso tiene los sueldos más alto de país, el intendente Jorge Nedela  ($ 188.608) gana más que el presidente de la Nación Mauricio Macri ($ 131.421); los secretarios municipales cobran 74.123 pesos y los subsecretarios ganan 68.842 pesos, mientras que delegado municipales se alzan con 68.842 pesos.

El tesorero gana 68.842 pesos; el secretario privado 63.938 pesos; los directores 60.355 pesos; los coordinadores A 60.355 pesos; coordinadores B: 44.663 pesos; Coordinadores C sueldos 39.231 pesos, Coordinadores D  sueldos 24.142 y los  coordinadores E: 16.900 pesos, en tanto que cada funcionario puede agregar la antigüedad, que no está cargada en el listado.

En definitiva más de 100 funcionarios. Si hay pobreza que no se note…

Comentarios